News Flash Home
The original item was published from 6/4/2020 5:57:00 PM to 6/19/2020 12:00:03 AM.

News Flash

Police

Posted on: June 4, 2020

[ARCHIVED] Police Chief Larry D. Boone shares Use of Force Policy with the community

Norfolk, Va. (NPD) – Police Chief Larry D. Boone has released the departments Use of Force policy following a national outcry in the tragic death of George Floyd in Minneapolis, Minnesota.

“I want the citizens of Norfolk to know the standard we hold our officers to,” said Chief Boone.  It is the commitment of the Department and our officers to hold the highest regard for the sanctity of human life while providing police services.  “In no way, shape, or form will any of these officers use the type of force, a knee on the neck, that killed George Floyd.”  

The Norfolk Police Department Use of Force policy, dated March 31, 2015, includes a section which describes that an officer is only permitted to use deadly force such as a choke hold when an officer or another is in imminent danger of death or serious physical injury, as reinforced through mandated Department of Criminal Justice Services (DCJS) training.  This training standard, 6.14.1.1—Identify carotid choke hold as deadly force-This training standard does not require demonstration; only identify.  The training objective allows a written or audio-visual test.  The standard is simply meant to be discussed as only to be used in deadly force situations.  Effective immediately, the Norfolk Police Department will cease any demonstration associated with this training objective.

 “I want to be clear; this is not just a piece of paper that says one thing while we do another,” said Chief Boone. “We do not teach any “knee on neck techniques” to our officers and leadership ensures that the officers are in compliance with our Use of Force policies. The officer’s activity is also captured on Body Worn Camera which is routinely reviewed by their supervisor.”

The Norfolk Police Department has also implemented training and policies aimed at reducing improper uses of force during encounters with citizens such as but not limited to:

  1. Ban on training the carotid choke hold
  2. De-escalation techniques
  3. Less-lethal force
  4. Verbal warnings before the use of deadly force
  5. When officers are permitted to shoot at moving vehicles
  6. Use of Force continuum

“It’s important to me that our residents are aware of our Use of Force policy and how Norfolk officers are trained to respond,” said Chief Larry D. Boone. “We are always working to update and adapt our policies with best practices in law enforcement. I welcome anyone’s input to improve this policy. Your voice will be heard.”

In 2016, Norfolk Police received national accreditation from the Commission on Accreditation for Law Enforcement Agencies, Inc. (CALEA) and was awarded its second CALEA accreditation in 2020. CALEA accreditation is the international gold standard in addressing best practices, processes, and policies in law enforcement.

Norfolk Police Use of Force Policy - 1

Norfolk Police Use of Force Policy - 2

Norfolk Police Use of Force Policy - 3

Norfolk Police Use of Force Policy - 4

Norfolk Police Use of Force Policy - 5

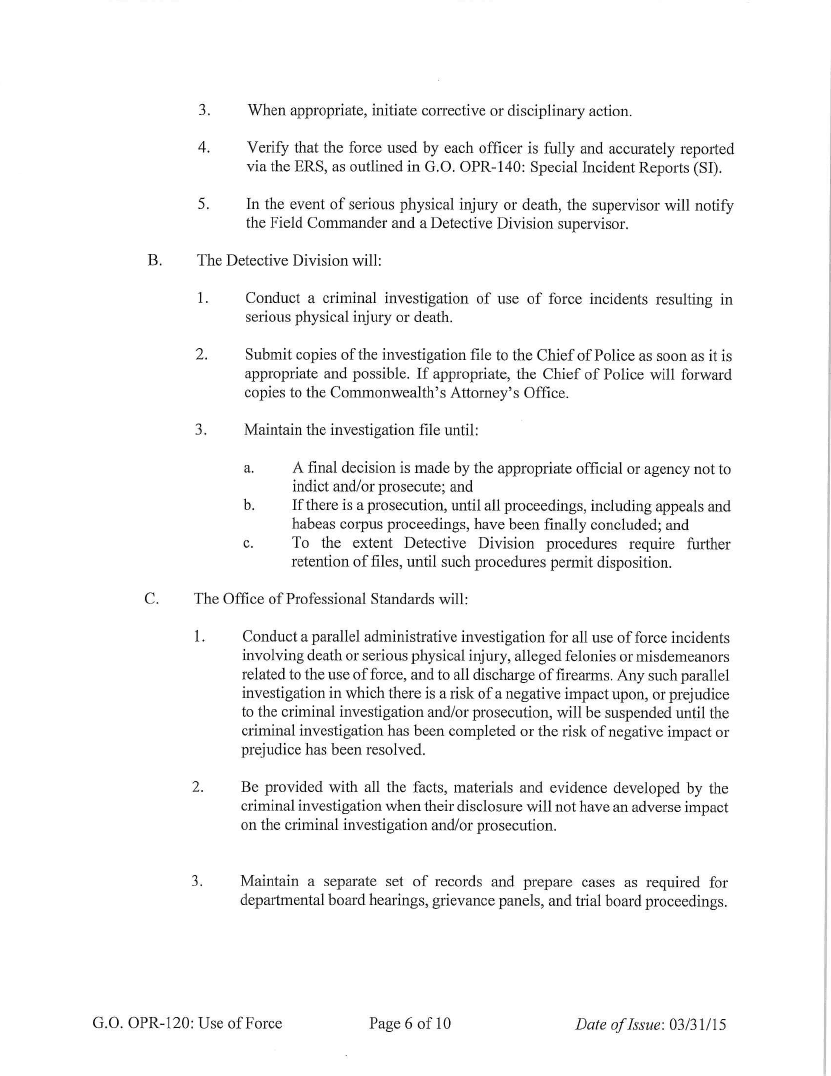
Norfolk Police Use of Force Policy - 6

Norfolk Police Use of Force Policy - 7

Norfolk Police Use of Force Policy - 8

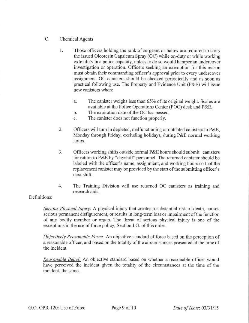
Norfolk Police Use of Force Policy - 9

Norfolk Police Use of Force Policy - 10

Norfolk Police Use of Force Policy - 11

Norfolk Police Use of Force Policy - 12

Facebook Twitter Email